Organic Phosphate Salts
Potassium Salt of Hexa Methylene Diamine Tetra (MethylenePhosphonic Acid)
CAS No. 38820-59-6(X-6) 53473-28-2(6-K)
HMDTMPA•K6
CAS No. 38820-59-6 (X-6), 53473-28-2 (6-K) Dequest 2054
Molecular Formula: C10H22N2O12P4K6 Molecular weight: 721
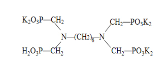
Structural Formula:

Properties:
HMDTMPA•K6 is soluble in water, it is a good scale inhibitor for calcium sulfate, suitable for use in situation of high pH value and high alkaline. HMDTMPA•K6 can be used for water treatment in boilers and RO membrane treatment.
Specification:
|
items |
index |
|
Appearance |
Colorless to pale yellow transparent liquid |
|
Active component (as acid) % |
21.2-24.6 |
|
Active component (as salt) % |
31.0-36.0 |
|
chloride (as Cl-) % |
4.0 max |
|
Total phosphoric acid (PO43-) % |
16.8-18.8 |
|
Phosphorous acid(as PO33-), % |
2.0 max |
|
Fe ppm |
35 max |
|
Density ( |
1.21-1.31 |
|
PH (1% water solution) |
6.0-8.0 |
Packing and Storage:
Normally
Update: 2015/2/2 10:27:36 Views:2878
Related products
- Potassium salt of 1-Hydroxy Ethylidene-1,1-Diphosphonic Acid (HEDP?Kx)
- Tetra sodium salt of Amino Trimethylene Phosphonic Acid (ATMP•Na4)
- Penta sodium salt of Amino Trimethylene Phosphonic Acid (ATMP•Na5)
- Potassium Salt of Hexa Methylene Diamine Tetra (MethylenePhosphonic Acid)
- Hepta sodium salt of Diethylene Triamine Penta (Methylene Phosphonic Acid)
- Diethylene Triamine Penta(Methylene Phosphonic Acid) Pentasodium salt(DTPMP•Na5)
